H Methode Beispiel

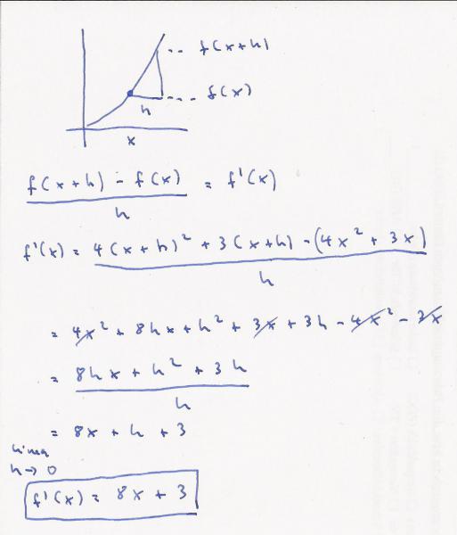
Ableitung Von Funktionen Mit H Methode Anhand Dem Beispiel F X 4x 2 3x Erklaren Bitte Mathelounge
H Methode Lernen Mit Serlo
H Methode Ableitungsfunktion Losungsbeispiel Mathematik Unterrichtsmaterial Im Fach Mathematik In 2020 Mathematik Mathematikunterricht Unterrichtsmaterial
H Methode Erklarung Beispiele Mit Video

In dem punkt mit dem x wert 5 bestimmt werden.

H methode beispiel. Falls noch fragen offen sind zögert nicht die kommentarfunktion zu benutzen oder mir eine nachricht zu schreiben. Konkrete beispiele zur h methode mit x0. In diesem artikel erklären wir dir die h methode eine methode aus dem bereich der differentialrechung und zeigen dir beispiele dazu.

H x 1 x 0 die variable h daher der name h methode steht demnach für den abstand zweier x werte. Mit der funktion f x 2x. F x lim h 0 2 x 2 h 2 x h.

H method the h method improves results by using a finer mesh of the same type of element. Anschaulich und leicht verständlich findest du alles wichtige zur h methode in unserem video schau es dir unbedingt an. Ich gebe dir außerdem einen schr.

Also solch hier die steigung des graphen der funktion an dieser stelle bzw. Currently two types method are used to demonstrate the numerical convergence of the solution. Um das zu verschaulichen schauen wir uns beispiel 1 nochmals mit der h methode an.

F x lim h 0 2 h h 2. Gegeben ist die funktion f x 4 x 5 und x0 5. Lerne die h methode hier lernst du die h methode eine wichtige methode die ableitung von differenzierbaren funktionen zu berechnen oder zu.

Die idee hinter der h methode ist dass man nicht einen speziellen punkt x 1 in den differenzenquotienten einsetzt sondern einen platzhalter h für den gilt. Beispiel wir hatten ja die funktion f x x an der stelle x 1 3 untersuchen wollen. Hier würde ich mir wünschen dass im beispiel noch mehr verlinkungen eingeführt werden und eventuell noch ein oder zwei weitere beispielaufgaben eingebunden werden.

The h and p versions of the finite element method are different ways of adding degrees of freedom dof to the model figure 1. Wir schreiben die formel auf. In diesem video erkläre ich dir wie man mit der h methode die steigung einer funktion an einer bestimmten stelle berechnet.

This method refers to decreasing the characteristic length h of elements dividing each existing element into two or more elements. Ich hoffe dass dieses video nützlich für euch war.

H Methode Und Ableitung Ableiten Verstandnis Mathe By Daniel Jung Youtube
Hier Mochte Ich Einige Methoden Vorstellen Wie Man Dreiecke Mit Sog Sandwich Methoden Ein Bisschen Schneller Dreieck Patchwork Anleitung Dreieck Berechnen
Quadratische Funktionen Umwandeln Scheitelpunktform Polynomform Produktform Unterrichtsmaterial Im Fach Mathematik In 2020 Quadratische Funktion Mathematikunterricht Lernen
Der Dreisatz Leicht Erklart Mit Beispiel Und Wofur Er Da Ist So Kann Man Direkte Proportionalitat Leicht Losen Mathe Einfa Mathematik Lernen Dreisatz Lernen
Source : pinterest.com