Laplace Transformation Beispiel

Beispiel Laplace Transformation Mathelounge
Laplace Transformation Mit Video
Laplace Transformation Und P Ubertragungsfunktion Lntwww
Losung Einer Dgl Mithilfe Der Laplace Transformation Beispiel Youtube

In the previous chapter we looked only at nonhomogeneous differential equations in which g t was a fairly simple continuous function.

Laplace transformation beispiel. Kostenlose mathe fragen teilen helfen plattform für schüler studenten mehr infos im video. C heißt laplace transformierbar wenn das integral f s lff t g z 1 0. Wir bezeichnen mit y s die bildfunktion der noch unbekannten l osung y t.

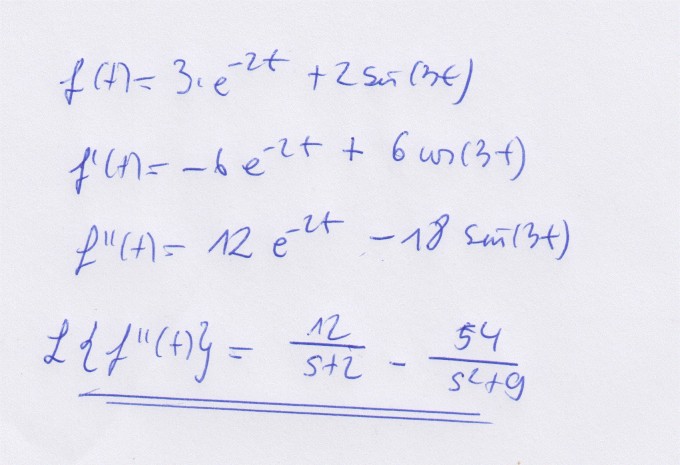
Laplace transformation 8 laplace transformation ausgangspunkt. Diese gleichung ist unser f t. A few of the notable ones that are useful for this material are the laplace transform laplace transform inverse laplace transform inverse laplace transform partial fraction expansion apart polynomial expansion expand and polynomial roots roots.

Direkt ins video springen im zeitbereich lösen. Der laplace transformation in verbindung mit anfangswertproblemen klar. Für die erste ableitung erhalten wir für die zweite ergibt sich und für die dritte ableitung.

Laplace transformation definition und rechenregeln zentrum mathematik tu munchen pd dr ing. Laplace transforms comes into its own when the forcing function in the differential equation starts getting more complicated. Schritt 1 laplacetransformation der einzelnen terme der awa.

Laplace transforms with python. Unter der vorausset zung dass die funktion f und ihre ableitungen geeigneten bedingungen gen. Die heaviside funktion u t 0 f ur t 0 1 f ur t 0 besitzt keine fourier transformation.

Y0 sy y 0 sy 0 y00 s sy 0 y0 0 s2y. F s 1 s 0 z1 0 e st1dt lim t 1 zt 0 e stdt lim t 1 1 s e st t 0 lim t 1 1 s e st s 1 s 2. Jetzt wenden wir das laplace integral auf unser beispiel an.

In this chapter we will start looking at g t s that are not continuous. Faltungsintegral laplace transformation beispiel elektrotechnik für dummies http amzn to 2br4f7d bester taschenrechner für die uni http amz. Klausur 2003 str ki l osen sie die awa y00 y0 6y e 2t y 0 0 y0 0 1 mit hilfe der laplace transformation.

Python sympy is a package that has symbolic math functions. Formal bekommt man das unbestimmte integral u ω z 0 e iωτ dτ 1 iω h 1 lim τ cos ωτ isin ωτ i das f ur ω6 0offensichtlich nicht.

Losung Einer Dgl 2 Ordnung Mithilfe Der Laplace Transformation Beispiel Youtube
Laplace Transformation Nyquist Und Bode Diagramm Am Beispiel Rc Tiefpassfilter Youtube
18f 2 Inverse Laplace Transformation Per Partialbruchzerlegung Beispiel Youtube
Anwendungsarten Der Laplace Transformation
Source : pinterest.com