Stetigkeit Beweisen Beispiel

Stetigkeit Von Funktionen Beweisen Und Zeichnen Mathelounge
Folgenkriterium Stetigkeit Der Quadratfunktion Beweisen Youtube
Stetigkeit Beweisen Epsilon Delta Kriterium Und Folgenkriterium Serlo Mathe Fur Nicht Freaks Wikibooks Sammlung Freier Lehr Sach Und Fachbucher
Stetigkeit Nachweisen Lernen Mit Serlo

Sofort zu analogen rechenregeln fur die vererbung von stetigkeit f uhren.

Stetigkeit beweisen beispiel. Displaystyle f ldots eine funktion mit f x displaystyle f x ldots und sei x 0 displaystyle x 0 eine beliebige zahl aus dem definitionsbereich von f displaystyle f. Die ausgewähten beispiele sollen das noch einmal veranschaulichen. Betrachte die reelle funktion f x 0 fur x 0 1 fur 0 x.

Die meisten funktionen mit denen man in der oberstufe zu tun hat sind stetig. Leider ist diese doch sehr einfache definition nicht sehr mathematisch und damit auch nicht immer korrekt. Beispiele zur stetigkeit 1 f x ˆ 1 ex f ur x 0 x2 f ur x 0 ist f stetig.

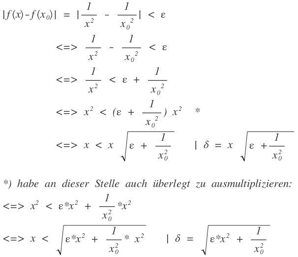
Dort ist sie aber immer. Der nachweis der stetigkeit einer funktion erfolgt wie gezeigt mit hilfe der berechnungen von grenzwerten für die h umgebung eines gegebenes argument x 0. Stetigkeit nachweisen gemäß der allgemeinen definition der stetigkeit einer funktion f ist folgende gleichungskette zu zeigen.

F x 1 x f x 1 x ist in x0 0 x 0 0 weder stetig noch unstetig sondern einfach nicht definiert. Lim x 0 f x lim x 0 x2 0 lim x 0 f x lim x 0 1 ex 1 e0 0 f 0 0 also ist. Eine funktion die an jeder stelle ihres definitionsbereichs stetig ist heißt stetige funktion.

Um die stetigkeit der funktion zu beweisen muss das beweisschema etwas angepasst werden. Kann man den graphen einer funktion zeichnen ohne dabei den stift neu ansetzen zu müssen ist die funktion i d r. Stetigkeit ist eine eigenschaft von funktionen.

Kapitel 5 Stetigkeit Ppt Video Online Herunterladen
Stetigkeit Mit Epsilon Delta Kriterium Mathelounge
Stetigkeit Und Differenzierbarkeit Stetigkeit Und Differenzierbarkeit Prufen Differentialrechnung Integralrechnung Mathematik Telekolleg Br De
Ppt Hands On Mathematik Stetigkeit Differenzierbarkeit Powerpoint Presentation Id 1302972
Source : pinterest.com